원칙과 신뢰를 바탕으로 도전하고 혁신하는 기업
Olefin은 지방족 불포화 탄화수소로 분자구조에 탄소 이중 결합을 가지고 있는 것을 통틀어 일컫습니다. Polyolefin은 이러한 Olefin을 단량체로 중합한 고분자입니다

1972년 국내 최초로 LDPE, LLDPE를 생산한 한화솔루션은 국내 최대의 LDPE, LLDPE 생산
설비를 보유하고 있으며, LDPE 국내 시장 점유율 1위를 유지하고 있습니다.
고부가가치 PO 제품인 EVA, LDPE는 사우디 IPC(International Polymers Company)에서 생산하고 있습니다. 이로 인해 원가절감과 규모의 경제를 실현하고, 특히 EVA 분야에서는 세계 2위의 생산 규모를 갖추고 세계적인 경쟁력을 확보했습니다.

EVA
(Ethylene Vinyl Acetate Copolymer)

LDPE
(Low Density Polyethylene)

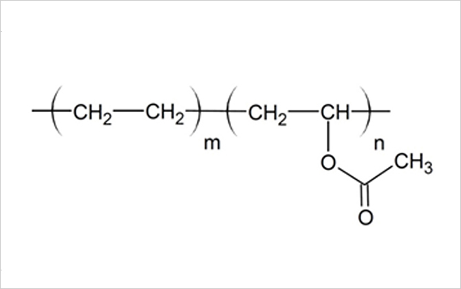
LLPDE
(Linear Low Density Polyethylene)

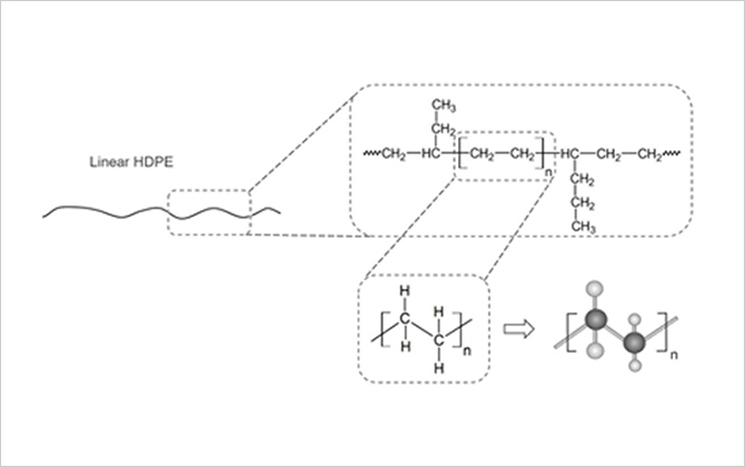
HDPE
(High Density Polyethylene)
에틸렌과 비닐아세테이트를 공중합하여 제조하며, VA의
함량에 따라 탄성력과 열접착 온도, 내구성, 투과력등이 달라지는 특징이 있습니다.
에틸렌을 중합하여 제조하는 합성수지로서, 일상생활에서 많이 사용되는 범용 플라스틱 중 하나로서 가공성과 유연성, 투명성이 우수하여 포장용 투명필름, 전선피복, 각종 랩 등을 제조하는데 사용됩니다.
밀도는 LDPE처럼 저밀도이지만 분자구조는 HDPE처럼 선형 구조이기 때문에 선형 저밀도 폴리에틸렌이라고 합니다. 강도와 가공성이 좋고 광학성, 환경응력(플라스틱 제품 성형 시 생기는 불안정한 균열에 대한 저항성)이 우수해 각종 산업용 포장재, 식품 포장재, 타포린코팅 등의 원료로 사용되고 있습니다.
에틸렌을 중합하여 제조하는 합성수지로서 일상생활에서 많이 사용되는 범용 플라스틱 중 하나로 충격에 강하며 내한성도 양호하여 각종 용기, 플라스틱 상자 등에 많이 사용됩니다.
| 분류 | 제품 | 특성 | 용도 |
|---|---|---|---|
| 압출코팅 | 1125, 1157, 1159 | 기자재와의 접착성 및 저온 열봉합성 우수 | 라미네이션 필름 |
| 발포 | 1315, 1316, 1317, 1326, 1328, 1333, 1334, 1340, 2315, 2319 | 기계적 강도 및 발포성 우수 | 신발용 Sponge 및 Sole |
| 핫멜트 | 1519, 1520, 1528, 1529, 1533, 1540 | 접착강도와 품질 균일성 우수 | HOT MELT 접착제용 |
| 필름 | 1214, 1218, 2020, 2030, 2040, 2050, 2060, 2240, 2250 | 인장강도, 낙하충격강도, 광학성 우수 | 농업용 필름, 온상용 필름, 수축 필름 |
| 전선 | 1815, 1828, 1834 | 압출가공성 및 무기물 충진우수 | 전선용 컴파운드 베이스레진 |
| 분류 | 제품 | 특성 | 용도 |
|---|---|---|---|
| 사출성형 | 303, 724, 737, 749 |
|
용기뚜껑, 가정용기, 마스터배치 |
| 코팅 | 950, 951, 955, 961, 963 |
|
연포장, 종이코팅 |
| 필름 발포 중공성형 | 830, 5301, 5302, 5303, 5305 5306, 5310, 5312P, 5316 |
|
전력케이블 절연용 베이스레진, 보호필름,중공성형(의료용기기), 공업용필름, 일반포장용수축필름, 온상필름 |
| 분류 | 제품 | 특성 | 용도 |
|---|---|---|---|
| 필름 | 3120, 3121UV, 3123, 3126, 3127, 3224, 3303, 3304 | 인장강도, 인열강도, 투명도, 열봉합성 우수 가공성, 광학성, 내황변성 우수 | 농업용, 일반포장 필름, 박층필름, 범용필름, 라미네이션필름 |
| 사출성형 | 7635 | 강도, 내응력균열성, 광택도 우수 | 팬더 라이너 |
| 압출피복 | 9730 | 고속가공성, 접착성, 열봉합강도 우수 | 타포린 |
| 분류 | 제품 | 특성 | 용도 |
|---|---|---|---|
| 실란수가교 | 3391 | 연신율 및 인장특성 우수 | 난방/급수용 파이프 제조용 컴파운드 |
| Yarn | 3392 | 연신율 및 인장특성 우수 | T-die 압출 Yarn용 |
| 사출 | 7600 | 가공성, 충격강도, 강성 우수 | 실리콘 카트리지, Pallet 사출성형용 |
| Cap | 7390 | 가공성, 충격강도, 내크래킹성 우수 | Cap용 |
| 피복 | MD9030, 9031 | 가공성, 산화 안정성 | 전선용 컴파운드 |